氢气(H₂)长期以来被视为一种生理惰性气体,因其化学性质稳定、分子量小、无色无味而未引起医学界重视。然而,自2007年Ohsawa等人在《Nature Medicine》首次报道氢气可选择性清除羟基自由基(·OH)和过氧亚硝基阴离子(ONOO⁻)以来,氢气医学迅速发展为一个跨学科研究热点。大量基础研究表明,氢气不仅能穿透细胞膜和血脑屏障,还能通过多靶点机制调控氧化应激、炎症反应与细胞凋亡过程。根据《氢气生物医学研究进展》的系统综述,氢气的核心作用机制包括:选择性中和高毒性活性氧而不干扰具有信号功能的活性氧(如H₂O₂、NO·),从而维持正常的氧化还原稳态;抑制NF-κB通路和NLRP3炎症小体活化,降低TNF-α、IL-1β、IL-6等促炎因子水平;上调抗凋亡蛋白Bcl-2表达,抑制caspase-3活化,保护线粒体功能;同时激活Nrf2/ARE通路,增强内源性抗氧化酶如超氧化物歧化酶(SOD)和血红素加氧酶-1(HO-1)的表达。这些机制共同构成了氢气在多种疾病模型中发挥保护作用的生物学基础。


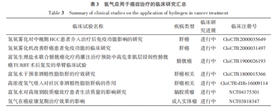
氢气在疾病治疗方面的部分临床试验
在给药方式上,氢气可通过富氢水口服、静脉注射富氢生理盐水、局部氢气浴及气体吸入等多种途径实现体内递送。其中,吸入法因其独特的药代动力学优势成为急性重症干预的首选策略。氢气经肺泡吸收效率高达80%,可在数分钟内达到全身组织,尤其适用于脑、心、肾等高灌注器官。此外,吸入浓度(通常0.5%–4%)和流量(5–15 L/min)均可精确调控,便于临床个体化调整。动物实验和初步人体研究已证实,氢气在缺血再灌注损伤(IRI)、神经退行性疾病、代谢综合征、放射损伤及自身免疫病等多种病理状态下具有显著干预效果。例如,在心肌梗死和脑卒中模型中,氢气可显著缩小梗死面积并改善神经功能评分;帕金森病患者在接受氢气吸入后,统一帕金森病评定量表(UPDRS)评分明显改善;富氢水或氢气吸入亦被证明可降低2型糖尿病患者的空腹血糖和糖化血红蛋白水平,并减轻放疗引起的口腔黏膜炎与骨髓抑制。尽管疗效证据日益丰富,氢气医学的临床转化仍长期受限于一个关键瓶颈:缺乏高质量的人体安全性数据,尤其是在高浓度、大流量、长时间吸入条件下的系统评估。
这一瓶颈后来在《Critical Care Explorations》发表的一项前瞻性一期临床试验得以突破。该研究在美国波士顿儿童医院开展,旨在系统评估健康成人连续吸入2.4%氢气长达72小时的安全性。值得注意的是,2.4%的浓度已接近氢气在空气中的爆炸下限(4%)的60%,属于高浓度范畴;而15 L/min的高流量鼻导管(HFNC)输送方式,则模拟了ICU中常用的呼吸支持模式;72小时的持续吸入时间更是覆盖了心脏骤停后综合征、急性呼吸窘迫综合征(ARDS)等危重症的关键治疗窗口。研究共纳入8名健康志愿者,所有受试者分别接受24小时(n=2)、48小时(n=2)或72小时(n=4)的连续吸入,气体由符合GMP标准的供应商提供,并通过在线传感器实时监测浓度以确保一致性。

实验参与者基本情况

实验流程图
为全面评估安全性,研究团队构建了一个涵盖五大系统的动态监测体系:生命体征(心率、血压、呼吸频率、SpO₂)、神经系统功能(简易精神状态检查MMSE + 神经科专科查体)、呼吸功能(用力肺活量FVC、1秒用力呼气容积FEV₁、呼气峰流速PEFR)、心血管系统(12导联心电图)以及血液生化指标(全血细胞计数、肝肾功能、心肌酶、胰酶、凝血功能等)。所有不良事件均由独立外部医生与数据安全监查委员会(DSMB)进行双盲审核,确保结果客观可靠。
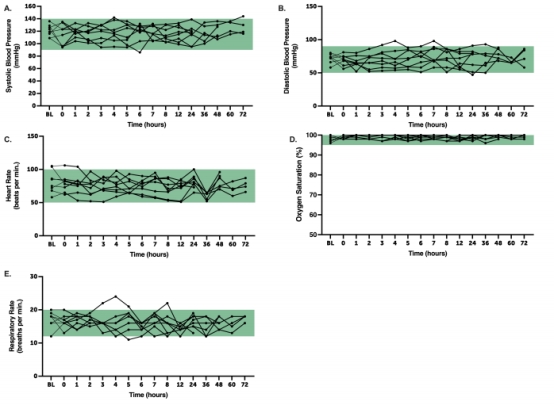
研究结果显示,在整个吸入过程中,所有受试者的生命体征高度稳定。平均心率维持在70±5次/分,收缩压约120±8 mmHg,外周血氧饱和度(SpO₂)始终高于98.5%,未出现任何具有临床意义的波动。更重要的是,受试者未报告任何异味、呼吸道刺激、胸闷、头晕或其他主观不适,表明2.4%氢气在空气中无感官刺激性,且HFNC输送方式耐受良好。

实验期间被试生命体征(血压等)变化情况
在神经系统方面,所有受试者的MMSE评分在基线与吸入结束后均为满分(30/30),神经科专科查体亦未发现运动、感觉、反射或协调功能异常,有效排除了氢气对中枢神经系统的急性毒性或抑制作用。

实验期间被试精神状态评估
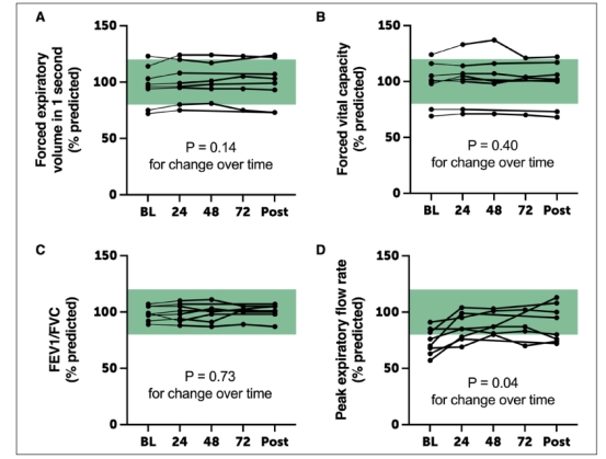
呼吸功能评估同样令人安心:尽管采用15 L/min的高流量供气,FVC、FEV₁和PEFR在吸入前后均无统计学或临床显著变化(p>0.05),证明氢气不会诱发支气管痉挛、气道炎症或限制性/阻塞性通气障碍。

实验期间被试呼吸功能评估
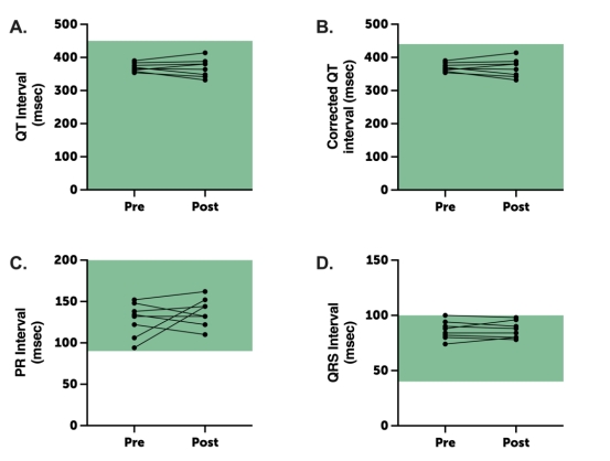
血液生化分析进一步强化了安全性结论。原文表3汇总了关键器官功能指标:心肌损伤标志物肌钙蛋白I始终低于0.01 ng/mL;肝酶ALT/AST无升高;肾功能指标肌酐和eGFR保持稳定;胰腺炎相关酶(淀粉酶、脂肪酶)亦在正常范围内。唯一出现统计学显著变化的是血红蛋白(Hb)和红细胞压积(Hct)轻微上升(p=0.03),但幅度小于5%,研究者合理归因于HFNC气流导致的轻度口咽干燥和体液丢失,而非氢气本身的毒性作用,因此不具临床意义。此外,12导联心电图未见心律失常、传导阻滞或ST-T段改变,电话随访至吸入后第5天亦无迟发性不良事件报告。

实验期间被试血清化学指标变化情况

实验期间被试心率等指标变化情况
该研究的结论具有重大临床转化价值:健康成人连续72小时吸入2.4%氢气(15 L/min)是安全、可行且高度耐受的。这一发现不仅打破了“高浓度氢气可能有毒”的认知误区,更验证了其在真实重症场景中的应用潜力。
综上所述,氢气医学已从机制探索阶段迈入临床转化新纪元。美国开展的这项严谨的试验,以高质量证据证实了长时间、高流量、高浓度氢气吸入在健康成人中的卓越安全性,彻底扫清了其临床应用的关键障碍。结合其明确的多靶点生物学效应、良好的用户体验以及在疾病治疗与健康促进中的双重潜力,氢气吸入有望成为继氧气疗法之后,最具前景的非药物气体干预手段之一。未来,随着更多期临床试验结果的公布和家用设备标准的完善,氢气或将真正融入从重症救治到日常健康管理的全链条健康服务体系之中。
参考文献
《氢气生物医学研究进展》
《Safety of Prolonged Inhalation of Hydrogen Gas in Air in Healthy Adults》
免责声明:市场有风险,选择需谨慎!此文仅供参考,不作买卖依据。